Distancia entre dos masas que se atraen con una fuerza dada (6512)

, por F_y_Q

Dos cuerpos, uno de 2 000 kg y otro de 4 000 kg, se atraen con una fuerza de 5 pondios. Calcula la distancia que los separa.

P.-S.

El pondio NO es una unidad del Sistema Internacional por lo que debes convertirla a newton:

5\ \cancel{p}\cdot \frac{1\ \cancel{kp}}{10^3\ \cancel{p}}\cdot \frac{9.8\ N}{1\ \cancel{kp}} = \color[RGB]{0,112,192}{\bf 4.9\cdot 10^{-2}\ N}

La ley de gravitación nos dice que la fuerza con la que se atraen dos masas está relacionada con el cuadrado de la distancia que las separa según la fórmula:

F = G\cdot \frac{m_1\cdot m_2}{d^2}\ \to\ \color[RGB]{2,112,20}{\bm{d = \sqrt{\frac{G\cdot m_1\cdot m_2}{F}}}}

Solo tienes que sustituir en la ecuación:

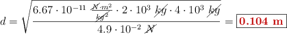
d = \sqrt{\frac{6.67\cdot 10^{-11}\ \frac{\cancel{N}\cdot m^2}{\cancel{kg^2}}\cdot 2\cdot 10^3\ \cancel{kg}\cdot 4\cdot 10^3\ \cancel{kg}}{4.9\cdot 10^{-2}\ \cancel{N}}} = \fbox{\color[RGB]{192,0,0}{\bf 0.104\ m}}


Descarga el enunciado y la resolución del problema en formato EDICO si lo necesitas.