Estudio del movimiento de dos trenes con distinta aceleración hasta que se encuentran (6019)

, por F_y_Q

Dos trenes pasan en la misma dirección y sentido y a la misma hora por dos estaciones separadas 10 km, con velocidades iguales de 54\  \textstyle{km\over h}. El que va delante frena a razón de 50\  \textstyle{km\over h^2} mientras que el que va detrás acelera a 25\  \textstyle{km\over h^2}. Calcula:

a) ¿En qué punto se encontrarán?

b) ¿Cuánto tiempo habrá transcurrido desde su paso por la estación?

c) ¿Qué velocidad tendrá cada tren en ese mismo instante?

P.-S.

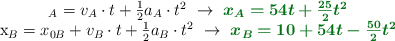
Las ecuaciones de la posición de cada uno de los trenes, si tomas como referencia la estación A, que es la que está detrás, son:

\begin{tabular}x_A = v_A\cdot t + \frac{1}{2}a_A\cdot t^2\ \to\ \color[RGB]{2,112,20}{\bm{x_A = 54t + \frac{25}{2}t^2}} \\ x_B = x_{0B} + v_B\cdot t + \frac{1}{2}a_B\cdot t^2\ \to\ \color[RGB]{2,112,20}{\bm{x_B = 10 + 54t - \frac{50}{2}t^2}} \end{tabular}

b) Si igualas ambas ecuaciones, imponiendo la condición de que ambos trenes se encuentran, puedes obtener el tiempo que transcurre hasta que lo hacen:

\cancelto{0}{54t} + 12.5t^2 = 10 + \cancelto{0}{54t} - 25t^2\ \to\ 37.5t^2 = 10\ \to\ t = \sqrt{\frac{10\ \cancel{km}}{37.5\ \frac{\cancel{km}}{h^2}}} = \fbox{\color[RGB]{192,0,0}{\bf 0.52\ h}}


a) La posición en la que se encuentran la obtienes sustituyendo el valor del tiempo calculado en una de las dos ecuaciones de la posición:

x_A = 54\ \frac{km}{\cancel{h}}\cdot 0.52\ \cancel{h} + 12.5\ \frac{km}{\cancel{h^2}}\cdot 0.52^2\ \cancel{h^2} = \fbox{\color[RGB]{192,0,0}{\bf 31.5\ km}}


Se encuentran a 36.5 km de la estación A o a 26.5 km de la estación B.

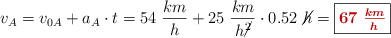
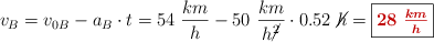
c) Para conocer sus velocidades solo tienes que sustituir el tiempo calculado en b) en las ecuaciones de la velocidad de cada tren:

v_A = v_{0A} + a_A\cdot t = 54\ \frac{km}{h} + 25\ \frac{km}{h\cancel{^2}}\cdot 0.52\ \cancel{h} = \fbox{\color[RGB]{192,0,0}{\bm{67\ \frac{km}{h}}}}


v_B = v_{0B} - a_B\cdot t = 54\ \frac{km}{h} - 50\ \frac{km}{h\cancel{^2}}\cdot 0.52\ \cancel{h} = \fbox{\color[RGB]{192,0,0}{\bm{28\ \frac{km}{h}}}}