Fuerza mínima para poner en marcha una caja que roza con el suelo

, por F_y_Q

Una caja que pesa 200 N es arrastrada por una cuerda que forma un ángulo \alpha con la horizontal. El coeficiente de rozamiento estático entre la caja y el suelo es \mu_e = 0,6. Si la caja se encuentra inicialmente en reposo, calcula la fuerza mínima para ponerla en movimiento. Resuelve el problema para los valores:

a) \alpha = 30^o.

b) \alpha = 0^o.

P.-S.

a) Llamamos F a la fuerza mínima que hemos de hacer para poner en movimiento la caja y tenemos que descomponer esa fuerza en las componentes horizontal y vertical:
F_x = F\cdot cos\ \alpha
F_y = F\cdot sen\ \alpha
Aplicamos la segunda ley de la dinámica para cada eje:
Eje Y: p - N - F_y = 0
Eje X: F_x - F_R > 0
Despejamos la normal en la ecuación del eje Y:
N = p - F_y
La fuerza de rozamiento se puede escribir como:
F_R = \mu\cdot N = \mu (p - F_y) = \mu\cdot p - \mu\cdot F\cdot sen\ \alpha
Sustituimos en la ecuación del eje X:
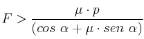
F\cdot cos\ \alpha - (\mu\cdot p - \mu\cdot F\cdot sen\ \alpha) > 0
Despejamos el valor de la fuerza:
F > \frac{\mu\cdot p}{(cos\ \alpha + \mu\cdot sen\ \alpha)}

F > \frac{0,6\cdot 120\ N}{(cos\ 30 + 0,6\cdot sen\ 30)}\ \to\ \bf F > 102,56\ N


b) Para el caso en el que la cuerda es horizontal, es decir que \alpha = 0, la normal es igual al peso y se simplifica la resolución de la ecuación:
F - F_R > 0\ \to\ F - \mu\cdot N > 0

F > \mu\cdot p\ \to\ F > 0,6\cdot 200\ N\ \to\ \bf F > 120\ N