Impulso mecánico y comparación de fuerzas para detener una pelota

, por F_y_Q

Un jugador atrapa una pelota de béisbol de 0.16 kg que viene directamente hacia él con una rapidez de 25 m/s con las manos desnudas y los brazos extendidos. Compara los valores de las fuerzas promedio aplicadas por el jugador si el tiempo de contacto para detenerla es de 2.5 ms en un caso y de 7.5 ms en el otro.

P.-S.

El impulso mecánico sobre la pelota es igual al producto de la masa de la pelota por la variación de la velocidad de la misma:

I = m\cdot \Delta v = 0.16\ kg\cdot (25 -0)\ \frac{m}{s} = \color{blue}{4\ N\cdot s}

La fuerza se puede escribir como el cociente entre el impulso mecánico y el tiempo de contacto: F = \frac{I}{t}.
Como los tiempos indicados son uno el triple del otro, la relación entre las fuerzas será de que la primera será el triple de la segunda. Vamos a comprobarlo:

F_1 = \frac{I}{t_1} = \frac{4\ n\cdot \cancel{s}}{2.5\cdot 10^{-3}\ \cancel{s}} = \color{blue}{1.6\cdot 10^3\ N}

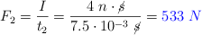
F_2 = \frac{I}{t_2} = \frac{4\ n\cdot \cancel{s}}{7.5\cdot 10^{-3}\ \cancel{s}} = \color{blue}{533\ N}

Hacemos el cociente entre ambas fuerzas:

\frac{F_1}{F_2} = \frac{1.6\cdot 10^3\ \cancel{N}}{533\ \cancel{N}} = \fbox{\color{red}{\bm{3}}}