Reacción de sodio en agua 0001

, por F_y_Q

Cuando se mezclan sodio metálico y agua se produce una reacción que desprende mucha energía, tanta que puede producirse una explosión. La reacción que tiene lugar es: Na + H_2O\ \to\ NaOH + H_2

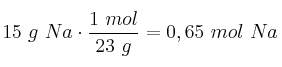
a) ¿Qué masa de NaOH se obtiene si se ponen 15 g de Na en un recipiente de agua?

b) ¿Qué masa de hidrógeno se desprenderá?

c) ¿Cuál será el volumen de H_2 medido a 0,8 atm y 32 ºC?

P.-S.

a) 15\ g\ Na\cdot \frac{1\ mol}{23\ g} = 0,65\ mol\ Na
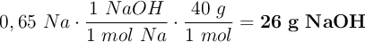
0,65\mol\ Na\cdot \frac{1\mol\ NaOH}{1\ mol\ Na}\cdot \frac{40\ g}{1\ mol} = \bf 26\ g\ NaOH
b) 0,65\mol\ Na\cdot \frac{0,5\mol\ H_2}{1\ mol\ Na} = 0,325\ mol\ H_2
0,325\ mol\ H_2\cdot \frac{2\ g}{1\ mol} = \bf 0,65\ g\ H_2
c) PV = nRT\ \to\ V = \frac{nRT}{P} = \frac{0,325\ mol\cdot 0,082\frac{atm\cdot L}{K\cdot mol}\cdot 305\ K}{0,8\ atm} = \bf 10,16\ L\ H_2