Velocidad de la reacción de descomposición del peróxido de hidrógeno (7535)
Analiza los siguientes datos sobre la descomposición del peróxido de hidrógeno y responde a las preguntas:

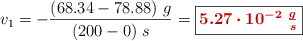
a) Calcula la rapidez de la reacción para cada uno de los tiempos de la tabla.
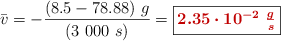
b) Calcula la rapidez promedio de la reacción.
c) Determina la rapidez instantánea de la reacción para el tiempo 1 000 s.
Ejercicios FyQ