Tiempo que tarda un auto en alcanzar una moto que parte del reposo (5907)

, por F_y_Q

Un auto y una moto se desplazan por una carretera recta de gran longitud de dos carriles. El auto se encuentra inicialmente a 16 m detrás de la moto y se desplaza hacia la derecha con una rapidez constante de 8\  \textstyle{m\over s}. Si la moto acelera hacia la derecha desde el reposo con una aceleración constante de modulo igual a 2\  \textstyle{m\over s^2}. Determina el tiempo que tarda el auto en alcanzar a la moto.

P.-S.

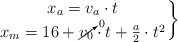
El auto se mueve con un movimiento uniforme, mientras que la moto lo hará con un movimiento uniformemente acelerado. Además la moto está 16 m por delante si tomas como referencia el auto. Escribes las ecuaciones de la posición de ambos vehículos:

\left x_a = v_a\cdot t \atop x_m = 16 + \cancelto{0}{v_0}\cdot t + \frac{a}{2}\cdot t^2 \right \}

Igualas las posiciones de ambos vehículos y obtienes la ecuación:

8t = 16 + \frac{2}{2}\cdot t^2\ \to\ \color[RGB]{2,112,20}{\bm{t^2 - 8t + 16 = 0}}

Debes resolver la ecuación de segundo grado obtenida. Lo puedes hacer aplicando la fórmula para la ecuación de segundo grado o, siendo observadores, viendo que se trata de una igualdad notable:

t^2 - 8t + 16 = \color[RGB]{0,112,192}{\bm{(t - 4)^2}}

Esto quiere decir que el auto tardará 4 s en alcanzar a la moto.