Campo eléctrico a una distancia de una esfera cargada que contiene una carga puntual (7359)
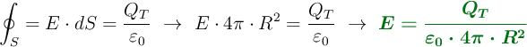
Una carga puntal de -6.0 pC se encuentra ubicada en el centro de una esfera conductora de 5.5 cm de radio y +1.0 pC de carga. Determina el campo eléctrico creado a 15 cm del centro de la esfera, suponiendo que el sistema está en el vacío.
 Ejercicios FyQ
 Ejercicios FyQ