Choque elástico entre dos bolas de billar idénticas (1117)

, por F_y_Q

Una bola de billar se mueve horizontalmente con una velocidad de 5 m/s y choca contra otra bola idéntica que está en reposo. Si el choque es perfectamente elástico: ¿cuál será la velocidad de ambas bolas después del impacto?

P.-S.

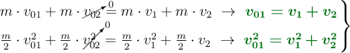
Al ser un choque elástico se tienen que conservar la cantidad de movimiento y la energía cinética del sistema después del choque. Las ecuaciones que se han de cumplir para ambas condiciones son:

\left m\cdot v_{01} + m\cdot \cancelto{0}{v_{02}} = m\cdot v_1 + m\cdot v_2\ \to\ {\color[RGB]{2,112,20}{\bm{v_{01} = v_1 + v_2}}} \atop \frac{m}{2}\cdot v_{01}^2 + \frac{m}{2}\cdot \cancelto{0}{v_{02}^2} = \frac{m}{2}\cdot v_1^2 + \frac{m}{2}\cdot v_2\ \to\ {\color[RGB]{2,112,20}{\bm{v_{01}^2 = v_1^2 + v_2^2}}} \right \}

Como puedes ver, al ser idénticas las masas de ambas son iguales pueden ser canceladas en ambas ecuaciones.

Se trata de resolver el sistema de ecuaciones anterior. Si elevas al cuadrado la primera ecuación, e igualas, tienes:

\cancel{v_1^2} + \cancel{v_2^2} + 2v_1v_2 = \cancel{v_1^2} + \cancel{v_2^2}\ \to\ \color[RGB]{0,112,192}{\bm{2v_1v_2 = 0}}

Solo una de las dos soluciones posibles a esta ecuación tiene significado físico. Se trata de la solución en la que la primera bola queda en reposo y la segunda se mueve con la misma velocidad que lo hacía la primera antes del choque, es decir, \fbox{\color[RGB]{192,0,0}{\bm{v_1 = 0}}} y \fbox{\color[RGB]{192,0,0}{\bm{v_2 = 5\ m\cdot s^{-1}}}}