Estequiometría de una reacción química 0001

, por F_y_Q

Sobre una muestra de aluminio se vierten 20 mL de HCl al 10\% en masa. Calcula la masa de AlCl_3 y el volumen de hidrógeno, medido a 25 ºC y 1 atm, que se obtendrán.

Dato: densidad de la disolución: 1,14 g/mL.

P.-S.

La reacción ajustada que tiene lugar es:

3HCl + Al\ \to\ AlCl_3 + \frac{3}{2}H_2


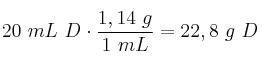
La masa de disolución que se vierte será:
20\ mL\ D\cdot \frac{1,14\ g}{1\ mL} = 22,8\ g\ D
Pero solo el 10\% es HCl, que es el compuesto que nos interesa:
22,8\ g\ D\cdot \frac{10\ g\ HCl}{100\ g\ D} = 2,28\ g\ HCl
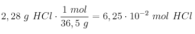
Esta masa de HCl corresponde a:
2,28\ g\ HCl\cdot \frac{1\ mol}{36,5\ g} = 6,25\cdot 10^{-2}\ mol\ HCl
Aplicando la estequiometría se obtiene:
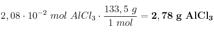
6,25\cdot 10^{-2}\ mol\ HCl\cdot \frac{1\ mol\ AlCl_3}{3\ mol\ HCl} = 2,08\cdot 10^{-2}\ mol\ AlCl_3
6,25\cdot 10^{-2}\ mol\ HCl\cdot \frac{1,5\ mol\ H_2}{3\ mol\ HCl} = 3,12\cdot 10^{-2}\ mol\ H_2
Debemos expresar los resultados como el enunciado nos indica:
2,08\cdot 10^{-2}\ mol\ AlCl_3\cdot \frac{133,5\ g}{1\ mol} = \bf 2,78\ g\ AlCl_3
V = \frac{nRT}{P} = \frac{3,12\cdot 10^{-2}\ mol\cdot 0,082\frac{atm\cdot L}{K\cdot mol}\cdot 298\ K}{1\ atm} = \bf 0,76\ L\ H_2