Masa de ácido que se diluye hasta obtener una disolución de concentración y densidad conocidas

, por F_y_Q

Se diluye una porción de una solución de ácido fosfórico (H_3PO_4) al 85\% \left(\textstyle{m\over m}\right) por agregado de agua hasta un volumen de 100\ cm^3. Se obtiene una solución al 14\% \left(\textstyle{m\over m}\right) cuya densidad es 1,08\ \textstyle{g\over cm^3}. Calcula la masa de la porción del ácido utilizada.

P.-S.

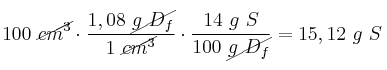
Partimos del volumen de la disolución final y calculamos la masa de disolución y la masa de soluto (ácido fosfórico) que contiene esta disolución final:
100\ \cancel{cm^3}\cdot \frac{1,08\ \cancel{g\ D_f}}{1\ \cancel{cm^3}}\cdot \frac{14\ g\ S}{100\ \cancel{g\ D_f}} = 15,12\ g\ S
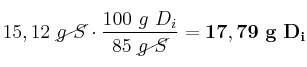
Esta cantidad de soluto ya estaba presente en la disolución inicial, puesto que lo único que hemos añadido es agua. Solo tenemos que aplicar el dato de la concentración de la disolución inicial:

15,12\ \cancel{g\ S}\cdot \frac{100\ g\ D_i}{85\ \cancel{g\ S}} = \bf 17,79\ g\ D_i