Molalidad y porcentaje en masa de una solución saturada de urea
A  la solubilidad de la urea
 la solubilidad de la urea  es de
 es de  . Averigua:
. Averigua:
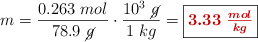
a) La molalidad de la solución saturada, sabiendo que la densidad del etanol a  es
 es  .
.
b) El porcentaje en peso  y el porcentaje en peso
 y el porcentaje en peso  .
.
Masas atómicas: H = 1 ; C = 12 ; N = 14 ; O = 16.
(Recuerda que S es soluto, d es disolvente y D es disolución).
 Ejercicios FyQ
 Ejercicios FyQ