Molaridad a partir de masa de soluto y volumen de disolución (3544)

, por F_y_Q

Calcula la concentración molar que tiene una solución sabiendo que en 35 mL de ella hay 0.3 g de $$$ (\text{NH}_4)_3\text{PO}_4$$$.

P.-S.

Lo primero que debes hacer es calcular la masa molecular del $$$ (\text{NH}_4)_3\text{PO}_4$$$:

$$$ \text{M}_{(\text{NH}_4)_3\text{PO}_4} = 3\cdot (14 + 4) + 1\cdot 31 + 4\cdot 16 = \color{royalblue}{\bf 149\ \text{g}\cdot \text{mol}^{-1}}$$$

Debes convertir la masa de la sal a moles:

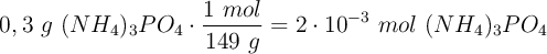
$$$ \require{cancel} 0.3\ \cancel{\text{g}}\ (\text{NH}_4)_3\text{PO}_4\cdot \dfrac{1\ \text{mol}}{149\ \cancel{\text{g}}} = \color{royalblue}{\bf 2\cdot 10^{-3}\ mol\ (NH_4)_3PO_4}$$$

Ahora conviertes el volumen a litros:

$$$ \require{cancel} 35\ \cancel{\text{mL}}\cdot \dfrac{1\ \text{L}}{10^{-3}\ \cancel{\text{mL}}} = \color{royalblue}{\bf 35\cdot 10^{-2} L}$$$

La molaridad será:

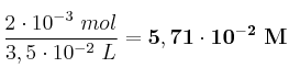
$$$ \color{forestgreen}{\bf M = \dfrac{n_S}{v_D}}\ \to\ \text{M} = \dfrac{2\cdot 10^{-3}\ \text{mol}}{3.5\cdot 10^{-2}\ \text{L}} = \color{firebrick}{\boxed{\bf 5.71\cdot 10^{-2}\ M}}$$$