Posición del centro de masas de un sistema de dos partículas (4591)

, por F_y_Q

Dos masas de 5 kg y 9 kg están localizadas en posiciones (5, 0, 0) y (7, 0, 0) respectivamente, en metros, a partir del origen. ¿Dónde se sitúa el centro de masas del sistema?

P.-S.

El sistema presenta dos masas alineadas en el eje horizontal. El centro de masas debería estar entre ambas partículas, más cerca de la masa mayor.

Aplicas la ecuación del centro de masas, teniendo en cuenta el vector unitario asociado a la coordenada horizontal:

\color[RGB]{2,112,20}{\bm{\vec{r}_{CM}= {\frac{\sum {m_i\cdot \vec r_i}}{\sum {m_i}}}}

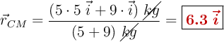
Sustituyes los valores en la ecuación y calculas:

\vec{r}_{CM} = \frac{(5\cdot 5\ \vec i + 9\cdot \vec i)\ \cancel{kg}}{(5 + 9)\ \cancel{kg}}= \fbox{\color[RGB]{192,0,0}{\bm{6.3\ \vec i}}}


El centro de masas se encuentra a 6.3 metros del origen.


Descarga el enunciado y la resolución del problema en formato EDICO si lo necesitas.