Posición, velocidad, momento lineal y aceleración del centro de masas de un sistema de dos partículas (8415)
Un sistema de dos partículas de masas 2 y 3 kg se mueven en el plano XY. En un instante dado, las posiciones y velocidades de las partículas son:

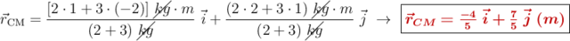
a) Calcula la posición del centro de masas (CM) del sistema.
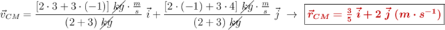
b) Determina la velocidad del centro de masas.
c) Calcula el momento lineal total del sistema.
d) Determina el momento angular total del sistema respecto al origen.
e) Si las partículas están sometidas a las fuerzas externas
y
, calcula la aceleración del centro de masas.
Ejercicios FyQ