Preparación de disoluciones en porcentaje en masa y molaridad (6217)

, por F_y_Q

a) ¿Cómo prepararías 120 mL de una disolución de \ce{Cu2SO4} con una densidad de 0.25\ \textstyle{g\over mL} y porcentaje en masa del 1 0\%?

b) Partiendo de dicha disolución, ¿cómo prepararías una dilución de 150 mL de concentración 0.05 M? Indica detalladamente el proceso.

(Masas atómicas: Cu = 63.5 ; O = 16 ; S = 32).

P.-S.

a) En primer lugar necesito saber qué masa de soluto necesito para hacer la disolución. La calculamos usando factores de conversión con los datos facilitados:

120\ \cancel{mL\ D}\cdot \frac{0.25\ \cancel{g\ D}}{1\ \cancel{mL\ D}}\cdot \frac{10\ g\ \ce{Cu2SO4}}{100\ \cancel{g\ D}} = \fbox{\color[RGB]{192,0,0}{\bf 3\ g\ \ce{Cu2SO4}}}


Solo tenemos que pesar los 3 g de \ce{Cu2SO4}, ponerlos en un matraz erlenmeyer y añadir agua para disolverlos. Una vez disuelto el soluto lo trasvasamos a un matraz aforado o una probeta y lo enrasamos añadiendo agua hasta el volumen marcado.

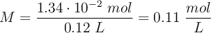
b) Primer calculamos la molaridad de la disolución preparada en el apartado anterior:

3\ \cancel{g}\ \ce{Cu2SO4}\cdot \frac{1\ mol}{(2\cdot 63.5 + 32 + 16\cdot 4)\ \cancel{g}} = 1.34\cdot 10^{-2}\ mol\ \ce{Cu2SO4}

M = \frac{1.34\cdot 10^{-2}\ mol}{0.12\ L} = 0.11\ \frac{mol}{L}

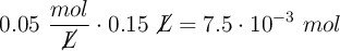
Para preparar la disolución 0.05 M de 150 mL necesitamos los siguientes moles de soluto:

0.05\ \frac{mol}{\cancel{L}}\cdot 0.15\ \cancel{L} = 7.5\cdot 10^{-3}\ mol

Ahora calculamos qué volumen de la primera disolución contiene los moles que necesitamos para la segunda disolución:

7.5\cdot 10^{-3}\ \cancel{mol}\cdot \frac{10^3\ mL\ D_1}{0.11\ \cancel{mol}} = \fbox{\color[RGB]{192,0,0}{\bf 68.2\ mL D_1}}}


Tenemos que tomar 68.2 mL de la primera disolución, ponerlos en un matraz aforado y enrasar con agua hasta los 150 mL.