Reacción química de la fotosíntesis 0001
En la fotosíntesis, el de la atmósfera se convierte en
según la reacción:
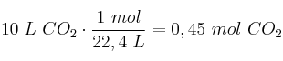
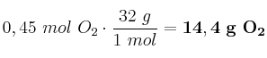
a) Ajusta la reacción
b) ¿Cuántos gramos de


En la fotosíntesis, el de la atmósfera se convierte en
según la reacción: