Dilución y concentración normal de un ácido clorhídrico (2368)

, por F_y_Q

El ácido clorhídrico concentrado comercial contiene un 37\ \% en peso de HCl y posee una densidad de 1.19 g/ml. ¿Qué cantidad de agua se debe añadir a 100 mL de este ácido para que la disolución resulte 0.1 N?

P.-S.

En el caso del ácido clorhídrico, la normalidad y molaridad coinciden ya que solo tiene un átomo de hidrógeno en su composición. Primero calculas la molaridad del ácido comercial. Para ello, consideras un volumen de 1 000 mL de disolución (D) y calculas qué masa representa:

1\ 000\ \cancel{mL}\ D\cdot \frac{1.19\ g}{1\ \cancel{mL}} = \color[RGB]{0,112,192}{\bf 1\ 190\ g\ D}

Pero no todo lo que hay en la disolución es HCl, sino tan solo 37 g de cada 100 g de D:

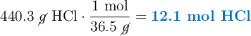
1\ 190\ \cancel{g\ D}\cdot \frac{37\ \ce{g\ HCl}}{100\ \cancel{g\ D}} = \color[RGB]{0,112,192}{\bf 440.3\ g\ HCl}

Teniendo en cuenta las masas atómicas del cloro y el hidrógeno, calculas los moles de HCl que representan la masa calculada. La masa molecular es:

M_{\ce{HCl}} = 1\cdot 1 + 1\cdot 35.5 = \color[RGB]{0,112,192}{\bm{36.5\ g\cdot mol^{-1}}}

Usas este dato como factor de conversión:

440.3\ \cancel{g}\ \ce{HCl}\cdot \frac{1\ \text{mol}}{36.5\ \cancel{g}} = \color[RGB]{0,112,192}{\textbf{12.1 mol HCl}}

Esto quiere decir que la concentración molar de la disolución es 12.1 M porque has considerado un litro de disolución. Por lo tanto, dado que la molaridad y la normalidad coincides, su concentración normal será 12.1 N. Si tomas solo 100 mL de la disolución, tienes:

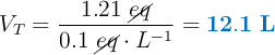
100\ \cancel{mL}\cdot \frac{12.1\ \text{eq\ HCl}}{1\ 000 \cancel{mL}} = \color[RGB]{0,112,192}{\textbf{1.21 eq HCl}}

La nueva concentración ha de ser 0.1 N, es decir, al dividir los equivalentes de HCl por el volumen total de la disolución debes obtener un resultado de 0.1. Si despejas:

V_T = \frac{1.21\ \cancel{eq}}{0.1\ \cancel{eq}\cdot L^{-1}} = \color[RGB]{0,112,192}{\bf 12.1\ L}

Lo que debes calcular es el volumen de agua, es decir, la diferencia entre el volumen final y el volumen inicial:

V_{\ce{H2O}} = V_f - V_i\ \to\ V_{\ce{H2O}} = (12.1 - 0.1)\ L = \fbox{\color[RGB]{192,0,0}{\textbf{12 L de \ce{H2O}}}}