Trabajo sobre un cuerpo que recorre una distancia en un tiempo (7520)

, por F_y_Q

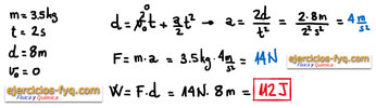
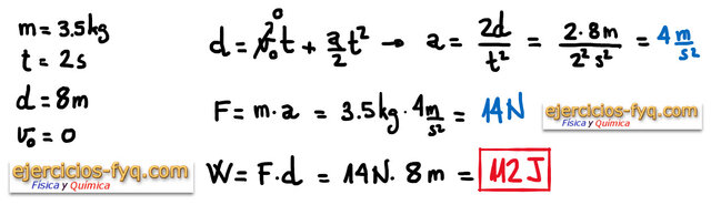
Un cuerpo de 3 500 g parte desde el reposo y en un tiempo de 2 s recorre 8 m. ¿Qué trabajo se ejerció sobre el cuerpo?

P.-S.

Para poder calcular el trabajo debes calcular la aceleración y con ella la fuerza ejercida sobre el cuerpo. Debes tener cuidado con el dato de la masa en este problema. Para que sea homogéneo debes hacer el cambio a kilogramo.

Clicando en sobre la miniatura podrás ver la resolución del problema con más detalle.