Calor que se genera en los frenos de un vehículo al frenar hasta detenerse (5637)

, por F_y_Q

Calcula el calor generado en los frenos de un vehículo cuyo peso es de 3 toneladas cuando marcha a 80 km/h y frena hasta detenerse, suponiendo que es el único lugar del sistema donde se origina la resistencia al movimiento.

P.-S.

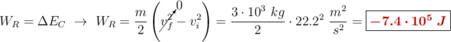
Debes suponer que la variación de energía que sufre el vehículo es igual al trabajo de rozamiento que hacen los frenos y ese trabajo es el calor que se genera. La variación de la energía del vehículo es la variación de su energía cinética, pero para hacer el cálculo hay que expresar la velocidad en m/s:

W_R = \Delta E_C\ \to\ W_R = \frac{m}{2}\left(\cancelto{0}{v_f^2} - v_i^2\right) = \frac{3\cdot 10^3\ kg}{2}\cdot 22.2^2\ \frac{m^2}{s^2} = \fbox{\color[RGB]{192,0,0}{\bm{-7.4\cdot 10^5\ J}}}


El signo negativo indica que es energía que cede el vehículo y lo hace en forma de calor.