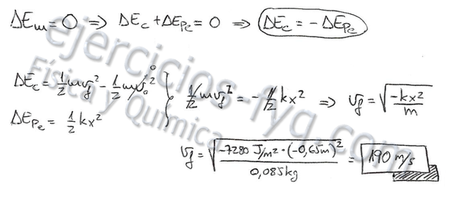
Conservación de la energía mecánica (440)
Calcula la velocidad con la que saldrá disparada una flecha de 85 g desde un arco cuya constante de recuperación es 
 y que ha sido tensado 65 cm.
Calcula la velocidad con la que saldrá disparada una flecha de 85 g desde un arco cuya constante de recuperación es 
 y que ha sido tensado 65 cm.