Conservación de la energía para lanzamiento hacia arriba 0001

, por F_y_Q

Una piedra se lanza verticalmente hacia arriba y se eleva una altura de 20 m. ¿Con qué rapidez fue lanzada?

P.-S.

Teniendo en cuenta que la energía se debe conservar, la energía cinética inicial ha de ser igual a la energía potencial gravitatoria final: E_C = E_P

\frac{1}{2}mv^2 = mgh\ \to\ v = \sqrt{2gh}


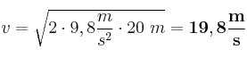
Sustituyendo los valores:

v = \sqrt{2\cdot 9,8\frac{m}{s^2}\cdot 20\ m} = \bf 19,8\frac{m}{s}